Articles | Volume 19, issue 5
https://doi.org/10.5194/amt-19-1927-2026
https://doi.org/10.5194/amt-19-1927-2026
Research article
 | 
18 Mar 2026
Research article |  | 18 Mar 2026

δ13C carbon isotopic composition of CO2 in the atmosphere by Lidar – a preliminary study with a CDIAL system at 2 µm

Fabien Gibert, Dimitri Edouart, Didier Mondelain, Claire Cénac, and Camille Yver
Abstract

Our understanding of the global carbon cycle needs for new observations of CO2 concentration at different space and time scales but also would benefit from observations of additional tracers of intra-atmospheric or surface-atmosphere exchanges to characterize sources and sinks. Lidar is a well-known promising technology for this research as it can provide, at the same time, structure of the atmosphere, dynamics and composition of several trace gas concentration. In this framework, a coherent differential absorption lidar (CDIAL) has been developed at LMD to measure simultaneously and separately 12CO2 and 13CO2 isotopic composition of CO2 in the atmosphere. It also provides the radial wind speed along the line of sight of the laser. This paper investigates the methodology of three wavelengths DIAL in the spectral domain of 2 µm to obtain range-resolved CO2 isotopic ratio δ13C. The set-up of the lidar as well as the signal processing is described in details. First atmospheric measurements along three days are achieved in the surface layer above the suburban area of Ecole Polytechnique campus, Palaiseau, France. Typical performances of the instrument (median values along 70 h of measurement) with 10 min of time averaging show: (1) a precision around 0.6 % for 1.2 km range resolution for 12CO2 mixing ratio (2) a precision around 3.2 % for 1.6 km range resolution for 13CO2 mixing ratio. In situ co-located gas analyser measurements are used to correct for biases that are explained neither by the spectroscopic database accuracy nor the signal processing and will need further investigation. Nevertheless, this preliminary study enables to make a useful state of the art for current lidar ability to provide δ13C measurements in the atmosphere with respect to geophysical expected anomalies and to predict the necessary performances of a future optimized instrument.

Share
1 Introduction

CO2 is the main anthropogenic greenhouse gas responsible for the current global warming. In 2024, its global annual average concentration in the atmosphere has reached more than 420 ppm and the global mean near surface temperature is 1.5 °C above the 1850–1900 average, with significant consequences for present and future life on planet Earth (WMO, 2025; IPCC, 2023). In our understanding of the carbon cycle, it is fundamental to associate a number of CO2 molecules with their original surface or atmospheric sources and sinks. In particular, the biospheric sink remains very complex to assess at regional scale with current tools (bottom-up or top-down methods) given the strong ecosystem space and time heterogeneity (Friedlingstein et al., 2020). The mitigation of anthropogenic emissions needs as well other clues than a standard CO2 mixing ratio measurement to assign a number of molecules to the type of emission: coal, gas, fuel, natural vs anthropogenic.

In this context, the CO2 stable isotopic fraction δ13C is an interesting tracer for CO2 surface-atmosphere exchanges at local scale. It enables to characterize plant/soil physiological processes (photosynthesis, respiration, decomposition of organic matter) and may help to issue a diagnosis on sources (anthropogenic, geological) and sinks (biosphere, ocean) of CO2. In addition, δ13C can discriminate the type of plant (C3 or C4) and ecosystems that contribute the most to biosphere CO2 uptake and their evolution with warming conditions (Buchmann n and Ehleringer, 1998; Flanagan et al., 1996). While the difference between C3- and C4-dominated biomes provides the largest observed variation in δ13C (Still et al., 2003), even within pure C3 ecosystems, a large temporal and spatial variability of δ13C is observed during nighttime respiration process due to species-specific effects and environmental conditions such as light, temperature and water availability, the latter being a major driver (Buchmann et al., 1997; Brugnoli et al., 1998; Bowling et al., 2002; Ekblad and Högberg, 2001; Pataki et al., 2003; Mortazavi et al., 2005). The natural variation of δ13C source spreads over a scale of 100 ‰: +5 ‰ for carbonate-gas CO2 equilibrium in air-sea/geological water exchanges, 8 ‰ for standard CO2 in the atmosphere, 14 ‰ for C4 plant – air exchanges but 27 ‰ for C3 plant that is similar to fossil fuel emission (coal and oil) whereas the lowest δ13C value, 40 ‰, can be found in natural gas emission (IAEA, 2008). However, hundreds of meters from the source, these anomalies are reduced to sub 1 ‰ variations due to efficient mixing of the atmosphere (Widory and Javoy, 2003).

Concerning current instrumentation and measurement, tunable diode laser absorption (Cassidy and Reid, 1982) or recent cavity ring down spectroscopy (Lin et al., 2020) offer a simpler way to make in situ measurements in the atmosphere compared to former complex mass spectrometry systems (Li et al., 2018). To increase the spatial scale representativity of in situ measurement, an integrated path differential absorption (IPDA) lidar concept at 4.4 µm has also been studied (Shi et al., 2022). Although such system seems to reach similar precision on δ13C (< 0.2 ‰) than in situ sensor, the horizontal profiling and 2-D mapping of the δ13C field above the surface by Lidar will bring new information on the patterns and origins of sources and sinks. Moreover, the vertical profiling will help characterize the local and long-distance transport of CO2, in a similar way than Lidar measurements of water vapor stable isotopologues do already (Hamperl et al., 2022). However, 1 ‰ precision with hundreds of meters range resolution has not yet been reached for CO2 DIAL system. Ultimately, the capability of 13CO2 lidar measurements opens the way to a global monitoring of 13CO2 from space using the IPDA technique to improve future global carbon inversion systems (Chen et al., 2017).

Several lidar teams have been interested in measuring CO2 absorption with DIAL systems since almost 20 years with precursor work using DIAL systems in the 2 µm spectral band and coherent detection (Koch et al., 2004; Gibert et al., 2006) and more recent works (Gibert et al., 2015) reaching a precision of 0.5 % with 150 m and 15 min range and time resolution, respectively, close to what is needed for δ13C observations. The spectral band of 1.6 µm has also been considered with coherent DIAL (Yu et al., 2024) or direct detection DIAL, using the advantage of low noise internally amplified photodetector (Shibata et al., 2017; Yue et al., 2022; Stroud et al., 2023) although the obtained precision was limited by the ten times lower CO2 absorption optical depth at such wavelength.

In this framework, a new three wavelengths coherent differential absorption Lidar (CDIAL) at 2 µm has been considered and recently developed at LMD to measure simultaneously 12CO2 and 13CO2 absorptions (Gibert et al., 2024). The purpose of this paper is to assess the current performances of the CDIAL system. The first sections describe the methodology and the spectral domain that has been chosen for this study. Then, a following section presents the experimental set-up, especially the new hybrid fibered/bulk laser source that was developed for this application. The signal processing is described in details to get the first lidar measurements of 12CO2 and 13CO2 mixing ratio. Current statistical and systematic errors are estimated. A discussion follows where the current performances of δ13C are compared to useful geophysical signals to be measured in the atmosphere. Some guidelines for δ13C efficient lidar measurements are pointed out.

2 Methodology

2.1 Multiwavelength DIAL theory

To measure the carbon isotopic ratio with the DIAL technique, at least three wavelengths have to be used, one serving as a reference, ideally located in a free-absorption spectral window. The differential absorption coefficients, αi,exp, measured at the different wavelengths, are estimated with the mean range gate lidar backscattered signal power, Pi, as follows:

(1) α i , exp = d τ i , exp d R = d d R - 1 2 ln P i P 0 ,

where i= 1, 2 stands for 12CO2 and 13CO2 wavelengths respectively and i= 0 for the reference non-absorbed laser wavelength. τi,exp is the measured single path differential absorption optical depth (DAOD). Note that time and space averaging act at different scales in Eq. (1) that will be described later in the dedicated section on signal processing with biases and statistical error analysis. At this point, we just assume: (i) the laser wavelengths are closed enough that aerosol extinction and backscatter variations with wavelength are negligible and (2) the absorption variation is negligible in the range gate used to measure Pi.

The differential absorption coefficients are linked to the trace gas mixing ratios with:

(2) α 1 , exp α 2 , exp = n air 1 + C H 2 O Δ σ ̃ 12 C , 1 Δ σ ̃ 13 C , 1 Δ σ ̃ H 2 O , 1 Δ σ ̃ 12 C , 2 Δ σ ̃ 13 C , 2 Δ σ ̃ H 2 O , 2 C 12 C 13 C H 2 O ,

where Δσ̃12C,i=σ̃12C,i-σ̃12C,0 and Δσ̃13C,i=σ̃13C,i-σ̃13C,0 are the differential absorption cross-section (ACS), nair=p/kBT is the air density with T and p air temperature and pressure and kB the Boltzman constant, CH2O is the water vapour mixing ratio.

(3) C 12 C 13 = 1 + C H 2 O Det. n air Δ σ ̃ 13 C , 2 - Δ σ ̃ 13 C , 1 - Δ σ ̃ 12 C , 2 Δ σ ̃ 12 C , 1 α 1 α 2 ,

where Det. =Δσ̃13C,2Δσ̃12C,1-Δσ̃12C,2Δσ̃13C,1 and where the experimental differential absorption coefficient has been corrected by the differential absorption due to H2O:

(4) α i = α exp , i - α H 2 O , i ,

where αH2O,i=CH2Onairσ̃H2O,i-σ̃H2O,0/1+CH2O.

2.2 Isotopic ratio δ13C measurement

The variation of isotopic ratio is measured with respect to a reference, the Vienna Pee Dee Belemnite (VPDB) isotopic ratio 0.011237:

(5) δ 13 C = C 13 C 12 meas . C 13 C 12 VPDB - 1 × 1000 ,

Actually, a single δ13C measurement brings only little information on the carbon cycle for the atmosphere has integrated the main part of 12CO2 and 13CO2 variations linked to surface sources and sinks. Rather, usually, many δ13C measurements are needed in a so-called Keeling plot where δ13C is reported as a function of the inverse of 12CO2 mixing ratio: δ13C =f1/C12. The extrapolation of δ13C for high value of C12 gives some information about the source or sink of CO2:

(6) δ 13 C source / sink = δ 13 C C 12 .

Therefore, the characterization of CO2 source and sink depends not only on 12CO2 and 13CO2 precision DIAL measurements but also on the amplitude of 12CO2 variations in the atmosphere. In practice, the method needs for plume detection (anthropogenic source mainly) or diurnal cycle acquisition where large variations of CO2 usually appear that are linked to the building of a stratified nocturnal layer and the so-called rectifier effect (Ogée et al., 2003; Widory and Javoy, 2003; Lopez et al., 2013).

3 Spectroscopy in the 2 µm band and DIAL wavelengths positioning

CO2 absorption measurements are usually considered in the three spectral regions 1.6, 2 or 4.3 µm. The latter has been preferred in the past given its strong absorption lines (2 orders of magnitude larger than at 2 µm) to obtain the highest precision to date (0.02 ‰ for 400 s of time averaging) on in situ CO2 isotope ratio measurement with a spectroscopic technique (Nelson et al., 2008). The 1.6 µm domain has also been considered rather for technical reason (even for CO2 DIAL measurement) although the CO2 low absorption line strength reduced the precision obtained for δ13C by 1 order of magnitude (2 ‰ for 8.7 s) (Kasyutich et al., 2006). Recent in situ cavity-ring-down spectroscopy (CRDS) instrument (PICARRO G2101-i analyzer) uses this spectra domain to obtain a precision better than 0.3 ‰ (5 min). The 2 µm domain offers a compromise both for the absorption coefficient and the available technical tools (laser, detector) (Andreev et al., 2011). In particular, the 2.05 µm CO2 absorption band has already been used at LMD to make horizontal CO2 profiles in the atmospheric boundary layer with a coherent DIAL (CDIAL) (Gibert et al., 2015). The instrument was able to make a 150 m–15 min 12CO2 mixing ratio measurement with a precision of 0.5 % at 500 m. However, usually the 13CO2 absorption line intensities are far lower by 2 orders of magnitude (following the isotopic ratio) than the 12CO2 lines. This entails a non-optimal DAOD (τ2 1) which reduces significantly the DIAL precision (Bruneau et al., 2006).

Fortunately, in the 2.05 µm band, the 13CO2 line intensities and then ACS are larger by 1 order of magnitude that mitigates, partly, their non-optimal DAOD. Figure 1 shows ACS calculated with line intensities from HTRAN2020 database (Gordon et al., 2022) in the 2.06 µm spectral region. These were obtained with a multispectrum fitting approach using a modified Voigt line shape to include line mixing and quadratic speed dependence. This database has been improved for air-broadening, air-pressure shift coefficients and their temperature dependence with recent CRDS lab measurements for 12CO2 (Mondelain et al., 2023) and for 13CO2 absorption lines (Mondelain et al., 2025) (Table 1). The residuals obtained after the multi-spectrum fit procedure are usually lower than 0.05 % for the absorption lines considered in this study. Note that the isotopologue abundances taken from the spectroscopic database yield a 13CO2/12CO2 isotopic ratio of 0.011235 (https://hitran.org/docs/iso-meta/, last access: 12 November 2025) which differs from the VPDB's one. This creates a bias of 0.18 ‰ in δ13C. Water vapor absorption lines absorption cross-sections have been calculated using a Voigt line shape and HITRAN2020 database.

Table 1Main 12CO2 and 13CO2 absorption line parameters used in this study. S: line intensity at 296 K weighted by standard isotopic abundance; E′′: lower energy level of the transition; γ0: air broadening coefficient at 296 K; nγ0: temperature dependence exponent; δ0: air-pressure shift coefficient at 296 K. Line intensity values and uncertainties are taken from HITRAN2020 database (Gordon et al., 2022). Values and uncertainties for γ0, nγ0, δ0 are from Mondelain et al. (2023, 2025). One-sigma uncertainties are given in parenthesis in the unit of the last digit.

Download Print Version | Download XLSX

Using Table 1 and Fig. 1, we are able to calculate typical absorption coefficient due to 12CO2 and 13CO2 at the chosen wavelengths λ1 and λ2:  0.75 and  0.05 km−1 respectively. From Eq. (1), the relative error of DIAL absorption measurement can be roughly written σαi/αi1/αiδRSNRi where SNRi is the λi lidar signal to noise ratio. Therefore, to obtain similar precision on DIAL absorption measurement at λ1 and λ2, SNR2> 15 SNR1 which represents a huge instrumental effort. Comparing to Gibert et al. (2015) CDIAL set-up used for 12CO2 measurement only, range and time resolution will have then to be reduced and the laser should run at higher pulse repetition frequency to obtain a larger SNR.

https://amt.copernicus.org/articles/19/1927/2026/amt-19-1927-2026-f01

Figure 1Absorption cross-section (ACS) for 12CO2, 13CO2 and H2O for pressure 984 hPa and temperature 24 °C (Voigt profile). Isotopic ratio is taken into account. The DIAL wavelengths chosen in this work are indicated.

Download

4 Experimental set-up

The lidar set-up is displayed in Fig. 2 and the technical specifications are gathered in Table 2. The laser set-up has been significantly modified since our DIAL CO2 measurements (Gibert et al., 2015, 2018) following recent work on hybrid fiber/bulk amplifier in the 2 µm domain (Lahyani et al., 2021, 2024). Our current emitter uses a seeder module with three narrow linewidth external cavity laser diodes (special model CHEETAH from Sacher Lasertechnik). Both seeders, λ1 and λ2, are locked to 12CO2 and 13CO2 absorption line centers using two frequency reference systems (FRS) built with a 80 cm path gas cell filled with pure 12CO2 at 20 hPa and 13CO2 at 5 hPa respectively and a Pound-Drever-Hall (PDH) technique. Gas cell pressures have been chosen to have the narrowest line shape as possible while maintaining a transmission around 0.5. λ0 is locked to λ1 using a phase-locking loop and a beat frequency monitoring. The spectral precision of each wavelength presents an Allan deviation better than 1 MHz between 10 s and 10 min (Gibert et al., 2018). In addition, the accuracy of each wavelength is within 1 MHz. After a 4 × 1 double stage fibered switch (Agiltron) (measured cross-talk isolation larger than 45 dB), the seeder power is amplified through a CW Thulium doped fiber amplifier (TDFA) (model CTFA from Keopsys). The laser pulses are then shaped using an acousto-optic modulator AOM (model Brimrose – 50 MHz). An electro-optical modulator and a double-stage optical fibered-coupled switch (Agiltron – not represented in Fig. 2) is added to reject (by 50 dB) the long settling time CW power after the pulse. The pulse repetition rate is 6 kHz as a compromise to have a large number of samples and keep a sufficient Carrier to Noise Ratio (CNR). The wavelength switch is fixed at 60 Hz (switch every 100 pulses at fixed wavelength) as a compromise to limit switch disturbance on the measurements (switch cross-talk is limited to 30 dB) and keep identical atmospheric aerosol backscatter signal for the three wavelengths.

https://amt.copernicus.org/articles/19/1927/2026/amt-19-1927-2026-f02

Figure 2DIAL set-up for δ13C measurement. FRS: frequency reference system, EOM et AOM: electro and acoustic-optical modulators, HDFA and TDFA: Holmium and Thulium fiber amplifiers, VBG: volume Bragg grated laser diode, PDH: Pound-Drever-Hall, HWP and QWP: half and quarter wave plate, PBS: polarizer beam splitter. Signal processing: data acquisition system (DAQ) with 3 channels (CH0, CH1 and CH2) for the 3 wavelengths, real time range-gate Discrete Fourier Transform (DFT), backscatter power (Pi) at each wavelength and 12CO2 (C12) and 13CO2 (C13) mixing ratios computed with additional spectroscopic and in situ meteorological data.

Download

Table 2Key specifications of 12CO2 and 13CO2 DIAL system. Further details may be found in Gibert et al. (2018) and Lahyani et al. (2021, 2024).

Download Print Version | Download XLSX

A custom Holmium pulsed fibered amplifier (model THALYS-2051nm-0.2W from Cybel) enables to deliver a maximum of 17 W peak power ( 5 µJ for a 300 ns pulse duration) without parasitic stimulated Brillouin scattering (SBS) effect. The laser pulses are then amplified in a free space multi-pass Ho:YLF amplifier. Six 0.5 %-Holmium doped 50 mm long Ho:YLF rods pumped by two 50 W linearly polarized Thulium fiber lasers (model TLR-50-1940-LP from IPG Photonics) are used to obtain a mean 27 W output power at 2.05 µm (4.5 mJ at 6 kHz). Both high cross-talk isolation from the double stage optical switch and high side mode suppression from the amplifiers (Lahyani et al., 2024) give an overall spectral purity larger than 45 dB. This laser architecture enables flexible characteristics of the laser: pulse duration, energy and repetition frequency (PRF). A coherent detection with a 50 mm diameter aperture lens (optimal heterodyne efficiency for horizontal measurement close to the surface over a distance of 2 km), a balanced extended InGaAs photodiode detection (Discovery Semiconductors Inc.) and a four channels data acquisition and real time signal processing system (model Waverider-250 from LICEL) completes the set-up.

The lidar has been installed on the second floor of the LMD building on Ecole Polytechnique campus (10 m height above the ground). The laser beam is sent quasi-horizontally into the atmosphere through an open window. A CRDS isotope and gas concentration analyser (PICARRO model G2131-i) made simultaneous continuous measurements of 12CO2 and 13CO2 mixing ratios. To complete the dataset, especially to compute the spectroscopic data, meteorological data were collected at the same height of the LMD lab 200 m away.

5 Atmospheric measurements

5.1 Absorption coefficient estimates

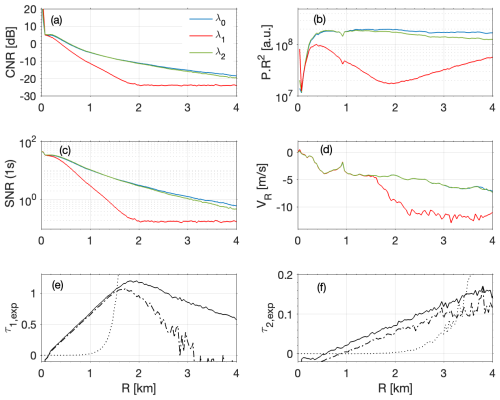
The signal processing is similar to the one described in Gibert et al. (2015). Real time processing consists in a 256 ns time gate (38.4 m range gate) Discrete Fourier Transform accumulation over 1 s (2000 shot averaging for each wavelength). Post-processing uses Matlab software with Squarer and Levin-like estimators to deliver atmospheric backscattered signal power and frequency at each wavelength (Gibert et al., 2006). The Doppler frequency shift is used to infer the radial wind speed at each wavelength (Gibert et al., 2015). Typical lidar profiles averaged over 10 min are displayed in Fig. 3.

https://amt.copernicus.org/articles/19/1927/2026/amt-19-1927-2026-f03

Figure 3(a) Carrier to Noise Ratio (CNR) at each wavelength. (b) Range-corrected signal. (c) Signal to Noise Ratio for 1 s. (d) Radial wind speed. (e) DAOD calculated with signals from Levin-like estimator (solid line) and Squarer estimator (dashed and dotted line) for (e) λ1 and (f) λ2. The bias on DAOD calculated with Squarer estimates is indicated with the dotted line.

Download

The CNR, CNRi=Pi-Pi,B/Pi,B where Pi,B is the noise power calculated using the integral of the power spectra of the last range gate of the lidar signal, is estimated for a bandwidth of 30 MHz (Fig. 3a). From the CNR and assuming that δR>cδt, where δt is the pulse duration, the lidar Squarer signal to noise ratio (SNR) may be estimated using (Killinger and Menyuk, 1981) (Fig. 3c):

(7) SNR i - 1 N - 0.5 2 δ R / c δ t - 0.5 1 + CNR i - 1 ,

where N is the number of averaged spectrum (number of shots) at a given distance R.

A useful estimate of statistical and systematic error of DAOD (and then absorption) can be written from the SNR (Bösenberg, 1998; Gibert et al., 2008):

(8)SDτi,exp=SNRi-2+SNR0-2-0.5/2(9)δτi,eexp=SNR0-2-SNRi-2/4

Figure 3f shows that the fluctuations on DAOD seems to be far larger for τ2,exp (13CO2). The reason is that the relative error of τ2,exp, being proportional to the optical depth, is larger by 1 order of magnitude compared to τ1,exp, despite a larger SNRi. Figure 3e and f also show that when the CNR and then the SNR decreases, the calculated DAOD is biased and underestimated as predicted by Eq. (9). Note that Levin-like estimator, which is actually used in this study, is significantly less sensitive to this bias and allows a longer range of measurement (Gibert et al., 2006).

To optimize the statistical error reduction on the DAOD, we look at the Allan deviation of each signal power at 500 and 1500 m and of the ratios Pi/P0 (Fig. 4). The lidar signal deviation at each wavelength does not decreases as the square root of time averaging except for very low CNR (CNR <15 dB), i.e. for P1 deviation at R= 1.5 km (Fig. 4b). The averaged lidar signal fluctuations are mainly due to the atmosphere. The Allan deviation of the ratios Pi/P0 shows that these fluctuations are correlated at each wavelength and their deviation decreases almost as the square root of the averaging time (but not entirely suggesting that some uncorrelated noise remains) and caps at few minutes of time averaging. Therefore, in this study, the signal processing consists in averaging the ratios of 1 s lidar signals up to 10 min and then take the logarithm in Eq. (1). The distance of useful DAOD measurement is chosen to have a negligible bias from Eq. (9). The bias due to potential negative values in the logarithm is also negligible with this process (Tellier et al., 2018). Note that the usual signal processing which consists to average the signals first up to 10 min and then take the ratio and the logarithm entails an increase of the DAOD standard deviation by a factor around two.

https://amt.copernicus.org/articles/19/1927/2026/amt-19-1927-2026-f04

Figure 4Allan deviation at R= 0.5 km (solid line) and R= 1.5 km (dashed line) for (a) λ0, (b) λ1 (red) and P1/P0 ratio (black), (c) λ2 (green) and P2/P0 ratio (black). The dotted lines are indicated for the standard white noise deviation (1/Time).

Download

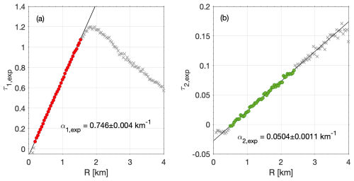
The differential absorption coefficients, αi,exp, are obtained with a Matlab bisquare linear fit on the DAOD which limits the weight of outliers with respect to the fitted line (Fig. 5). The regression is made over a distance of 1.3 km for α1,exp (12CO2) and 1.8 km for α2,exp (13CO2) while respecting several conditions: (1) the first points (R< 300 m) that are biased due to parasitic received CW emitted power after the emitted pulse (due to a roughly 1 µs long settling time of the AOM and switch) are discarded, (2) the farthest points that are biased due to low SNR (especially for λ1) are also discarded, (3) a reasonable larger number of points for λ2 (13CO2) than for λ1 (12CO2) is used to mitigate the large statistical error of α2,exp (due to lower optical depth) while keeping the same air mass (varying number of points have been tested to give credit to this hypothesis).

https://amt.copernicus.org/articles/19/1927/2026/amt-19-1927-2026-f05

Figure 5Differential optical depth for (a) λ1 (12CO2) and (b) λ2 (13CO2) and typical bisquare linear fit to estimate mean differential absorption coefficient. Colored dotted markers: points used for the fit; cross markers: outliers.

Download

Given the error of C13 absorption coefficient no range-resolved measurement is tested here at higher resolution, i.e. 200 m–10 min as such processing will only give noisy data where large CO2 source will be hardly identified. Note anyway that range-resolved measurement for C12 has been tested and gives similar results as in Gibert et al. (2015). Rather here, our goal is to get a useful precision on C13 that will enables us to make a comparison with in situ data. Figure 5 shows an example of mean differential absorption coefficients estimates. With such conditions, the precisions on α1,exp and α2,exp are around 0.5 % and 2 %, respectively. Note that an offset spectral locking of λ1 with respect to R30 12CO2 absorption line center is possible to have a similar useful distance of measurement than with λ2, with the drawback of an increase of the statistical error though. Note also that the optical depths that we used here for CO2 stable isotopologue measurements are similar to the ones used for DIAL H2O stable isotopologue measurements (i.e. H216O and HD16O) at 1.98 µm (Hamperl et al., 2022) which enables to make some comparison in the following sections.

5.2 Meteorological data and absorption cross-section calculations

From meteorological data (p, T) and spectroscopic data we calculated the absorption cross section of each molecule (12CO2, 13CO2, H2O) at each wavelength (Fig. 6). The main differential ACS variation is observed at λ1 and is due to temperature diurnal cycle (around 0.2 % K−1 at R30 12CO2 absorption line center) (Gibert et al., 2006).

https://amt.copernicus.org/articles/19/1927/2026/amt-19-1927-2026-f06

Figure 6Meteorological data and differential ACS calculations. (a) Pressure (b) Temperature (c) H2O mixing ratio (d) Differential ACS at wavelength 1 and 2 for 12CO2 and 13CO2 absorption lines and (e) for H2O. Note that, as for Fig. 1, 13CO2 ACS are multiplied by the VPDB isotopic ratio, i.e. 0.011237. Native in situ meteorological data have a time resolution of 1 min. Differential ACS are computed at the time resolution of Lidar measurements, i.e. 10 min.

Download

5.3 Precision budget

The relative error of mixing ratio estimates results from the different parameters in Eq. (3): (1) the statistical error for absorption coefficient estimates (Fig. 5) and from its correction due to H2O absorption (Eq. 4), (2) the uncertainty in differential ACS calculations which comes from uncertainties in meteorological data (mainly temperature) along the Lidar LOS and wavelengths position uncertainty, (3) the uncertainty in dry air density calculations mainly driven by CH2O and T uncertainties along the Lidar LOS (the error due to pressure fluctuations is neglected). The relative error of each parameter is reported in Table 3. The uncertainties due to temperature fluctuations and water vapor along the line of sight of the Lidar are estimated from in situ data Allan deviation at 10 min, i.e. over the DIAL accumulation time. For the whole acquisition time (Fig. 6), the Allan deviation for T and CH2O is respectively 0.18 K (< 0.07 %) and 1.3 × 10−4 (< 0.9 %). These mean relative errors are used to estimate the errors of the differential ACS assuming a Lorentzian absorption line shape and on the dry air density. Note that the relative error of mixing ratio due to temperature fluctuations in Table 3 accounts both from the differential ACS and the air density (Gibert at al., 2008). The relative error of αi and then on mixing ratios due to water vapor absorption correction (Eq. 4) is calculated using an upper bound for water vapor absorption contribution in αi,exp from Fig. 6, which amounts to 0.1 % of α1,exp, and 1.7 % of α2,exp.

Table 3Statistical errors of 12CO2 (C12) and 13CO2 (C13) mixing ratios.

Download Print Version | Download XLSX

Table 3 shows that the uncertainty on mixing ratio estimates is mainly driven by the statistical error for absorption coefficient estimates from lidar backscatter signals. 13CO2 mixing ratio estimate is also more sensitive to (1) water absorption correction due to a smaller absorption optical depth at wavelength 2 and (2) temperature fluctuations due to a less adapted energy level of the P18 transition than for 12CO2 mixing ratio estimate. Although the DIAL system used for water vapor isotopologue measurements in Hamperl et al. (2022) is very different (direct detection DIAL), similar uncertainties were obtained for absorption coefficient estimates, i.e. 0.5  % for H2O and 2.0 % for HDO for a time and space resolution of 25 min and 600 m at a mean distance of 400 m, showing that the measurement performances are driven, in both experiments, by the lowest optical depth of the stable isotopologues. However, a main difference of the two experiments concerns the spectral characteristics of the 2 µm emitters as the wavelength position precision contributes significantly in the error budget in Hamperl et al. (2022) whereas it has a negligible impact in our case.

5.4 Accuracy budget

At the current point of our understanding, the systematic errors in DIAL 12CO2 and 13CO2 mixing ratios comes from: (1) a statistical bias that is corrected using Eq. (9), (2) approximations in the DIAL equation (Eq. 1) which neglects spectral variation of aerosol extinction and backscatter coefficients especially for λ2 (1.2 nm gap with λ0), (3) instrumental characteristics of the DIAL emitter such as the absolute wavelength positions and the spectral purity, (4) spectroscopic data.

Given the 1.2 nm wavelength difference in DIAL measurements of 13CO2, one may wonder what is the aerosol backscatter and extinction coefficient differences over such a spectral range. This has actually been studied and quantified in Appendix A of Gibert et al. (2008). A Mie scattering code for homogeneous spherical particles (Mätzler, 2002) accounting for typical aerosol optical depth and size distribution in the suburban area of Palaiseau and a wide range of relative humidity showed an error of CO2 absorption coefficient of 2 × 10−7 m−1 from the backscatter coefficient and 2 × 10−9 m−1 from the extinction for a wavelength difference of 0.3 nm at 2.06 µm. Assuming that we can describe the wavelength dependance of extinction (and backscatter coefficient) with the Angström exponent: δαi=αp,01-λ0/λia0 (Weitkamp, 2005). With an assumed suburban a0 1, we obtain δα1= 1.4 × 10−4αp,0 for |λ1λ0|= 0.3 nm and δα2= 5.6 × 10−4αp,0 for |λ2λ0|= 1.2 nm which keeps the numbers calculated above from Gibert et al. (2008) in the same order of magnitude, i.e. 8 × 10−7 m−1 from the backscatter and 8 × 10−9 m−1 from the extinction coefficients. These numbers have to be compared to typical CO2 absorption coefficients α1 ( 7.5 × 10−4 m−1) and α2 ( 5.0 × 10−5 m−1) to obtain the relative biases in Table 4. Our bias estimation shows that the aerosol backscatter spectral difference could have a significant impact on 13CO2 mixing ratio estimates (potential bias of 0.1 %) if significant aerosol gradients occur in the atmosphere (plume, boundary layer interface). Other systematic errors from the spectroscopic data and DIAL emitter have been quantified as well in Table 4.

Table 4Assessment of potential systematic errors of 12CO2 (C12) and 13CO2 (C13) mixing ratios.

Download Print Version | Download XLSX

In order to quantify the actual biases on C12 and C13 estimates, we considered the direct problem. In situ differential absorption coefficients for both wavelength 1 and 2 are computed using meteorological, spectroscopic data and in situ PICARRO G2101-i isotopic gas analyzer measurements of 12CO2 and 13CO2 mixing ratios. Figure 7 shows the comparison between lidar and in situ estimates. A “good” (with respect to expected representativity error) correlation coefficient of 0.80 and 0.82 are calculated for α1 and α2, respectively. However, a linear fit shows both a different amplitude of variation and a bias that are not explained up to now, neither by the signal processing nor by the potential biases listed in Table 4. The coefficients of the linear fit remain constant within the uncertainties over the 4 d of measurements. These biases are likely due to the long settling time of the emitted pulse shaped by the AOM (Fig. 2). As seen in Fig. 3a, a part of the emitted pulse (and the remaining power after it) is reflected by the optics after the polarizer (Fig. 2) which may create a different bias on atmospheric backscattered power at each wavelength. To pursue the analysis of the lidar measurements, especially from the statistical point of view, we decided to correct the lidar absorption coefficients by these linear fit coefficients keeping in mind that further work will be needed on lidar measurements biases.

https://amt.copernicus.org/articles/19/1927/2026/amt-19-1927-2026-f07

Figure 7Comparison between lidar and in situ differential absorption coefficient (from meteorological, spectroscopic and gas analyzer data) for wavelength 1 (12CO2(a) and 2 (13CO2(b). The dotted line is for αi,lidar=αi,in situ.

Download

6 Discussion

6.1 Diurnal variations of 12CO2 and 13CO2 in the atmospheric surface layer

To show the current performances of CDIAL CO2 isotopic measurements, we report almost 70 h of lidar C12 and C13 mixing ratio measurements in the surface layer at approximately 15 m height above Ecole Polytechnique campus (Fig. 8). The lidar reflectivity and the radial wind speed along the line of sight (LOS) of the lidar are also displayed. The diurnal cycles of lidar C12 and C13 estimates follow the in situ data with two exceptions on 18 September (6 h) and 20 September (10 h) that correspond to changes in radial wind speed and direction (Fig. 8b and c). Large differences between in situ and lidar measurements are then explained by different spatial representativity. Other major differences are also observed on the evenings, 18 September (20 h) and 19 September (20 h). These correspond likely to anthropogenic plumes (evening road traffic) that are not well mixed during the evening transition and are located hundreds of meters far from the LMD building where is the in situ gas analyzer (R= 0 km). The 12CO2 anomaly magnitude of these plumes (10–20 ppm) is similar to what was measured in Gibert et al. (2015). When the atmospheric boundary-layer is well mixed by turbulence (seen with fluctuated values of VR along the LOS, 12–18 h in local time) the agreement (within the error bars) between lidar and in situ sensor measurements is excellent, as expected.

https://amt.copernicus.org/articles/19/1927/2026/amt-19-1927-2026-f08

Figure 8C12 and C13 lidar measurements. (a) Lidar reflectivity for wavelength 0 and associated. (b) Lidar radial wind speed. (c) In situ horizontal wind direction (dirV) at 10 m and lidar line-of-sight (LOS) azimuth angle. (d) C12 and (e) C13 lidar mixing ratio measurements (markers). The solid line corresponds to in situ PICARRO G2101-i analyzer measurements. Space resolution for lidar C12 and C13 measurements is around 1.0–1.3 and 1.5–1.8 km respectively depending the level of the signal power (a). Time resolution is 10 min. Error bars are calculated from αi,exp estimates (Fig. 5).

Download

The natural change in lidar reflectivity and therefore CNR and SNR entails a variation of the maximum distance of measurements (to avoid optical depth biases) and then of the resolution of lidar differential absorption estimates along the 70 h: 1.0–1.3 km for C12 and 1.5–1.8 km for C13. The precision of lidar mixing ratio estimates changes as well and ranges between 1.3 and 6.4 ppm for C12 (median value: 2.3 ppm (0.6 %)) and 0.06 to 0.4 ppm for C13 (median value: 0.15 ppm (3.2 %)).

6.2 Current status and future prospective concerning δ13C lidar estimates

From Eq. (5), we calculated the CO2 isotopic ratio δ13C both for in situ and lidar measurements and report the 70  h data in a Keeling plot (Fig. 9a). A least-squares fit on the in situ data results in a mean δ13Csource=26 ‰ both a result of vegetation respiration and traffic road anthropogenic emissions in this suburban area (Lopez et al., 2013; Widory and Javoy, 2003). The lidar data gave a similar value although the large uncertainty (260 %) prevents us to obtain any conclusion. Using Eq. (5) we can calculate the statistical error of δ13C:

(10) SD δ 13 C var C 12 C 12 2 + var C 13 C 13 2

From Eq. (10) we understand that the lidar error of δ13C is driven by the statistical error of C13 lidar mixing ratio estimate.

https://amt.copernicus.org/articles/19/1927/2026/amt-19-1927-2026-f09

Figure 9(a) Keeling plot for in situ gas analyzer and CDIAL measurements. (b) Monte Carlo simulations of the δ13Csource error estimate (time resolution is 10 min) using in situ gas analyzer as the truth and random additional noise on δ13C measurements. Lidar error of δ13Csource estimate with 70 h of measurements is indicated as well as δ13Csource geophysical typical anomalies for natural gas, fuel, coal anthropogenic emissions, C3 and C4 plant respiration and marine or geological source with respect to standard atmospheric mixed air δ13C (9 ‰).

Download

To predict the future performances of optimized lidar system for δ13C measurement, we made Monte Carlo numerical simulations assuming the same spread of 1/C12 in situ data collected during this field experiment and adding some increasing random noise on δ13C in situ values. The goal was to infer an error threshold of a future optimized lidar system to see geophysical δ13C sources (Fig. 9b). Typical δ13Csource anomalies with respect to a mixed air reference of 9 ‰ have been reported on Fig. 9b for comparison. The current lidar δ13Csource error is also reported and agrees with a Monte Carlo error simulation. If we keep the same number of points that were used in this study (70 h of measurements with 10 min time resolution) we understand that a threshold lidar error should be around 7 ‰, 3 ‰, 2 ‰ and 1 ‰ to detect respectively natural gas, coal/fuel/C3 plant respiration, marine/geological and C4 plant respiration δ13Csource anomalies (Widory and Javoy, 2003). Given that such detection should be made ideally during a single night (10 h acquisition) or for anthropogenic plumes (typical minute time scale), the precision to reach is even more challenging (< 1 ‰). Concerning our current lidar system, relying on a coherent detection for 13CO2 DIAL measurement, the SNR should be increased by at least 20 dB to obtain a better spatial resolution and a precision around 0.1 %, which seems to be technically unreachable with the present coherent detection. However, some hope still exists with direct detection DIAL using an internally amplified photodetector such as HgCdTe avalanche photodiodes (Sun et al., 2014; Dumas et al., 2017) or superconducting nanowire single-photon detectors (SNSPD) (Yue et al., 2022).

7 Conclusion

A first investigation of range-resolved DIAL for the measurement of CO2 isotopic composition in the atmosphere has been presented. A three wavelengths CDIAL lidar was developed for simultaneous measurements of 12CO2 and 13CO2 in the 2 µm spectral domain. The spectroscopic database has been updated with recent experimental data with outstanding accuracy and precision. The LMD CDIAL system has also been upgraded since 2015 and relies now on a new 27 W hybrid fiber/bulk multiple wavelength laser at 2 µm that offers similar performances but a better flexibility with respect to pulse energy, duration and rate tuning. A specific optimized configuration for this study provides a three wavelengths emission with 4.5 mJ, 300 ns and 6 kHz pulses. The CDIAL system was used to make first range-resolved measurements of 12CO2 and 13CO2 absorption in the atmospheric surface layer above the suburban area in the south of Paris. Typical performances of the instrument (median values along 70 h of measurement) with 10 min of time averaging show: (1) a precision around 0.6 % for 1.2 km range resolution for 12CO2 mixing ratio (2) a precision around 3.2 % for 1.6 km range resolution for 13CO2 mixing ratio. In situ co-located gas analyser measurements were used to correct for biases that are explained neither by the spectroscopic database accuracy nor the signal processing and will need further investigation. Then, differences in 12CO2 and 13CO2 mixing ratio anomalies between in situ and CDIAL made sense as the results of dynamical processes and different sounding representativity in the atmosphere. Once again, the simultaneous radial wind speed ability of the CDIAL system was critical to explain geophysical CO2 variability in the surface layer linked to surface emissions that are not fully mixed.

Both limited precision and accuracy of the current set-up prevent us to make useful geophysical measurements of the isotopic ratio δ13C in order to characterize the sources of CO2. Nevertheless, both in situ and CDIAL measurements were used to make a state of the art for current lidar ability to provide δ13C measurements in the atmosphere with respect to geophysical expected anomalies and to predict the necessary performances of a future optimized instrument. Monte Carlo simulations showed that an increase of the instrument SNR by 2 orders of magnitude is necessary to get a useful geophysical precision better than 1 ‰ on δ13C. This precision is fully limited by the precision on DIAL 13CO2 absorption measurement that suffers from a small absorption coefficient around 0.05 km−1 in the 2 µm spectral domain (compared to 0.75 km−1 for 12CO2). Despite such increase of SNR seeming to be out of range for a coherent DIAL system with reasonable range and time resolution, such performances are still achievable with a direct detection DIAL and this will be tested in a future work.

Code availability

The working code were made with MATLAB software and are available on request from the authors.

Data availability

The Lidar and in situ data are available on request from the authors.

Author contributions

FG and DE designed the DIAL system and FG carried out the experimental set-up, the atmospheric measurements and the data analysis. CC contributes to the electronics of the lidar. DM carried out the spectroscopic measurements and brought his expertise for the spectroscopic data. CY provides the in situ data for comparison. FG prepared the manuscript with contributions from all co-authors.

Competing interests

The contact author has declared that none of the authors has any competing interests.

Disclaimer

Publisher’s note: Copernicus Publications remains neutral with regard to jurisdictional claims made in the text, published maps, institutional affiliations, or any other geographical representation in this paper. While Copernicus Publications makes every effort to include appropriate place names, the final responsibility lies with the authors. Views expressed in the text are those of the authors and do not necessarily reflect the views of the publisher.

Acknowledgements

This work benefited from the French state aid managed by the ANR under the “Investissements d'avenir” programme with the reference ANR-11-IDEX-0004-17-EURE-0006.

Financial support

This research has been supported by the Agence Nationale de la Recherche (grant no. ANR-11-IDEX-0004-17-EURE-0006).

Review statement

This paper was edited by Christof Janssen and reviewed by four anonymous referees.

References

Andreev, S. N., Mironchuk, E. S., Nikolaev, I. V., Ochkin, V. N., Spiridonov, M. V., and Tskhai, S. N.: High precision measurements of the 13CO2/12CO2 isotope ratio at atmospheric pressure in human breath using a 2 µm diode laser, Appl. Phys. B, 104, 73–79, https://doi.org/10.1007/s00340-011-4602-4, 2011. 

Bruneau, D., Gibert, F., Flamant, P., and Pelon, J.: Complementary study of differential absorption lidar optimization in direct and heterodyne detections, Appl. Optics, 45, 4898–4908, https://doi.org/10.1364/AO.45.004898, 2006. 

Bösenberg, J.: Ground-based differential absorption lidar for water-vapor and temperature profiling: methodology, Appl. Optics, 37, 3845–3860, https://doi.org/10.1364/AO.37.003845, 1998. 

Bowling, D. R., McDowell, N. G., Bond B. J., Law, B. E., and Ehleringer, J. R.: 13C content of ecosystem respiration is linked to precipitation and vapor pressure deficit, Oecologia, 131, 113–124, https://doi.org/10.1007/s00442-001-0851-y, 2002. 

Brugnoli, E., Scartazza, A., Lauteri, M., Monteverdi, M. C., and Máguas, C.: Carbon isotope discrimination in structural and non-structural carbohydrates in relation to productivity and adaptation to unfavourable conditions, in: Stable Isotopes: Integration of Biological, Ecological and Geochemical Processes, edited by: Griffiths, H., Bios Scientific Publishers Ltd. Oxford, 133–146, https://doi.org/10.1201/9781003076865, 1998. 

Buchmann, N. and Ehleringer, J. R.: CO2 concentration profiles, and carbon and oxygen isotopes in C3 and C4 crop canopies, Agr. Forest Meteorol., 89, 45–58, https://doi.org/10.1016/S0168-1923(97)00059-2,1998. 

Buchmann, N., Kao, W.-Y., and Ehleringer, J. R.: Influence of stand structure on carbon-13 of vegetation, soils, and canopy air within deciduous and evergreen forests in Utah, United States, Oecologia, 110, 109–119, https://doi.org/10.1007/s004420050139, 1997. 

Cassidy, D. T. and Reid, J.: Atmospheric pressure monitoring of trace gases using tunable diode lasers, Appl. Optics, 21, 1185–1190, https://doi.org/10.1364/AO.21.001185, 1982. 

Chen, J. M., Mo, G., and Deng, F.: A joint global carbon inversion system using both CO2 and 13CO2 atmospheric concentration data, Geosci. Model Dev., 10, 1131–1156, https://doi.org/10.5194/gmd-10-1131-2017, 2017. 

Dumas, D., Rothman, J., Gibert, F., Édouart, D., Lasfargues, G., Cénac, C., Le Mounier, F., Pellegrino, J., Zanatta, J.-P., Bardoux, A., Tinto, F., and Flamant, P.: Evaluation of a HgCdTe e-APD based detector for 2 µm CO2 DIAL application, Appl. Optics, 56, 7577–7585, https://doi.org/10.1364/AO.56.007577, 2017. 

Ekblad, A. and Högberg, P.: Natural abundance of 13C in CO2 respired from forest soils reveals speed of link between tree photosynthesis and root respiration, Oecologia, 127, 305–308, https://doi.org/10.1007/s004420100667, 2001. 

Friedlingstein, P., O'Sullivan, M., Jones, M. W., Andrew, R. M., Hauck, J., Olsen, A., Peters, G. P., Peters, W., Pongratz, J., Sitch, S., Le Quéré, C., Canadell, J. G., Ciais, P., Jackson, R. B., Alin, S., Aragão, L. E. O. C., Arneth, A., Arora, V., Bates, N. R., Becker, M., Benoit-Cattin, A., Bittig, H. C., Bopp, L., Bultan, S., Chandra, N., Chevallier, F., Chini, L. P., Evans, W., Florentie, L., Forster, P. M., Gasser, T., Gehlen, M., Gilfillan, D., Gkritzalis, T., Gregor, L., Gruber, N., Harris, I., Hartung, K., Haverd, V., Houghton, R. A., Ilyina, T., Jain, A. K., Joetzjer, E., Kadono, K., Kato, E., Kitidis, V., Korsbakken, J. I., Landschützer, P., Lefèvre, N., Lenton, A., Lienert, S., Liu, Z., Lombardozzi, D., Marland, G., Metzl, N., Munro, D. R., Nabel, J. E. M. S., Nakaoka, S.-I., Niwa, Y., O'Brien, K., Ono, T., Palmer, P. I., Pierrot, D., Poulter, B., Resplandy, L., Robertson, E., Rödenbeck, C., Schwinger, J., Séférian, R., Skjelvan, I., Smith, A. J. P., Sutton, A. J., Tanhua, T., Tans, P. P., Tian, H., Tilbrook, B., van der Werf, G., Vuichard, N., Walker, A. P., Wanninkhof, R., Watson, A. J., Willis, D., Wiltshire, A. J., Yuan, W., Yue, X., and Zaehle, S.: Global Carbon Budget 2020, Earth Syst. Sci. Data, 12, 3269–3340, https://doi.org/10.5194/essd-12-3269-2020, 2020. 

Flanagan, L. B., Brooks, J., Varney, G. T., Berry, S. C., and Ehleringer, J. R.: Carbon isotope discrimination during photosynthesis and the isotope ratio of respired CO2 in boreal forest ecosystems, Global Biogeochem. Cy., 10, 629–640, 1996. 

Gibert, F., Flamant, P. H., Bruneau, D., and Loth, C.: Two-micrometer heterodyne differential absorption lidar measurements of the atmospheric CO2 mixing ratio in the boundary layer, Appl. Optics, 45, 4448–4458, https://doi.org/10.1364/AO.45.004448, 2006. 

Gibert, F., Flamant, P. H., Cuesta, J., and Bruneau, D.: Vertical 2-µm Heterodyne Differential Absorption Lidar Measurements of Mean CO2 Mixing Ratio in the Troposphere, J. Atmos. Ocean. Tech., 25, 1477–1497, https://doi.org/10.1175/2008JTECHA1070.1, 2008. 

Gibert, F., Edouart, D., Cénac, C., le Mounier, F., and Dumas, A.: 2 µm Ho emitter-based coherent DIAL for CO2 profiling in the atmosphere, Opt. Lett., 40, 3093–3096, https://doi.org/10.1364/OL.40.003093, 2015. 

Gibert, F. Pellegrino, J., Edouart, D., Cénac, C., Lombard, L., Le Gouët, J., Nuns, T., Cosentino, A., Spano, P., and Di Nepi, G.: 2 µm double pulse single frequency Tm:fiber laser pumped Ho:YLF laser for a space-borne CO2 lidar, Appl. Optics, 57, 10370–10379, 2018. 

Gibert, F., Edouart, D., and Cénac C.: δ13C carbon isotopic composition of CO2 in the atmosphere by Lidar, 31st International Laser Radar Conference, Landshut, Germany, hal-04727479, June 2024. 

Gordon, I. E., Rothman, L. S., Hargreaves, R. J., et al.: The HITRAN2020 Molecular Spectroscopic Database, J. Quant. Spectrosc. Ra., 277, 107949, https://doi.org/10.1016/j.jqsrt.2021.107949, 2022. 

Hamperl, J., Dherbecourt, J.-B., Raybaut, M., Totems, J., Chazette, P., Régalia, L., Grouiez, B., Geyskens, N., Aouji, O., Amarouche, N., Melkonian, J.-M., Santagata, R., Godard, A., Evesque, C., Pasiskevicius, V., and Flamant, C.: Range-resolved detection of boundary layer stable water vapor isotopologues using a ground-based 1.98 µm differential absorption LIDAR, Opt. Express, 30, 47199–47215, 2022. 

IAEA: International Atomic Energy Agency: Isotopes de l'environnement dans le cycle hydrologique, Vienne, IAEA-TCS-32/F, ISSN 1018-5518, 2008. 

IPCC: Climate Change 2023: Synthesis Report, Contribution of Working Groups I, II and III to the Sixth Assessment Report of the Intergovernmental Panel on Climate Change, edited by: Core Writing Team, Lee, H., and Romero, J., IPCC, Geneva, Switzerland, 184 pp., https://doi.org/10.59327/IPCC/AR6-9789291691647, 2023. 

Kasyutich, V. L., Martin, P. A., and Holdsworth, R. J.: An off-axis cavity-enhanced absorption spectrometer at 1605 nm for the 12CO2/13CO2 measurement, Appl. Phys. B, 85, 413–420, https://doi.org/10.1007/s00340-006-2312-0, 2006. 

Killinger, D. K. and Menyuk, N.: Effect of turbulence-induced correlation on laser remote sensing error, Appl. Phys. Lett., 38, 968–970, 1981. 

Koch, G. J., Barnes, B. W., Petros, M., Beyon, J. Y., Amzajerdian, F., Yu, J., Davis, R. E., Ismail, S., Vay, S., Kavaya, M. J., and Singh, U. N.: Coherent differential absorption lidar measurements of CO2, Appl. Optics, 43, 5092–5099, 2004. 

Lahyani, J., Le Gouët, J., Gibert, F., and Cézard, N.: 2.05 µm all-fiberlaser source designed for CO2 and wind coherent lidar measurement, Appl. Optics, 60, C12–C19, https://doi.org/10.1364/AO.416821, 2021. 

Lahyani, J., Thiers, M., Gibert, F., Edouart, D., Le Gouët, J., and Cézard, N.: Hybrid fiber/bulk laser source designed for CO2 and wind measurements at 2.05 µm, Opt. Lett., 49, 969–972, https://doi.org/10.1364/OL.510598, 2024. 

Li, J., Li, R., Zhao, B.Guo, H., Zhang, S., Cheng, J., and Wu, X.,: Quantitative measurement of carbon isotopic composition in CO2 gas reservoir by micro-laser Raman spectroscopy, Spectrochim. Acta A, 195, 191–198, https://doi.org/10.1016/j.saa.2018.01.082, 2018. 

Lin, Y.-C., Zhang, Y.-L., Xie, F., Zhang, W.-Q., Fan, M.-Y., Lin, Z., Rella, C. W., and Hoffnagle J. A.: Development of a monitoring system for semicontinuous measurements of stable carbon isotope ratios in atmospheric carbonaceous aerosols: Optimized methods and application to field measurements, Anal. Chem., 92, 14373–14382, https://doi.org/10.1021/acs.analchem.0c02063, 2020. 

Lopez, M., Schmidt, M., Delmotte, M., Colomb, A., Gros, V., Janssen, C., Lehman, S. J., Mondelain, D., Perrussel, O., Ramonet, M., Xueref-Remy, I., and Bousquet, P.: CO, NOx and 13CO2 as tracers for fossil fuel CO2: results from a pilot study in Paris during winter 2010, Atmos. Chem. Phys., 13, 7343–7358, https://doi.org/10.5194/acp-13-7343-2013, 2013. 

Mätzler, C.: MATLAB functions for Mie scattering and absorption, Version 2, IAP Research Rep., 11 pp., https://api.semanticscholar.org/CorpusID:123424425 (last access: 17 March 2026), 2002. 

Mondelain, D., Campargue, A., Fleurbaey, H., Kassi, S., and Vasilchenko, S.: Line shape parameters of air-broadened 12CO2 transitions in the 2 µm region, with their temperature dependence, J. Quant. Spectrosc. Ra., 298, 108485, https://doi.org/10.1016/J.jqsrt.2023.108485, 2023. 

Mondelain, D., Campargue, A., Gamache, R.R., Hartmann, J.-M., Gibert, F., Wagner, G., Birk, M., and Röske C.: Isotopologue dependence of the CO2-air broadening and shifting coefficients: experimental evidence and comparison with theory for 13CO2 and 12CO2, J. Quant. Spectrosc. Ra., 333, 109271, https://doi.org/10.1016/j.JQSRT.2024.109271, 2025. 

Mortazavi, B., Chanton, J. P., Prater, J. L., Oishi, A. C., Oren, R., and Katul, G.: Temporal variability in 13C of respired CO2 in a pine and a hardwood forest subject to similar climatic conditions, Oecologia, 142, 57–69, https://doi.org/10.1007/s00442-004-1692-2, 2005. 

Nelson, D. D., McManus, J. B., Herndon, S. C., Zahniser, M. S., Tuzson, B., and Emmenegger, L.: New method for isotopic ratio measurements of atmospheric carbon dioxide using a 4.3 µm pulsed quantum cascade laser, Appl. Phys. B, 90, 301–309, https://doi.org/10.1007/s00340-007-2894-1, 2008. 

Ogée, J., Peylin, P., Ciais, P., Bariac, T., Brunet, Y., Berbigier, P., Roche, C., Richard, P., Bardoux, G., and Bonnefond, J.-M.: Partitioning net ecosystem carbon exchange into net assimilation and respiration using 13CO2 measurements: A cost-effective sampling strategy, Global Biogeochem. Cy., 17, 1070, https://doi.org/10.1029/2002GB001995, 2003. 

Pataki, D. E., Ehleringer, J. R., Flanagan, L. B., Yakir, D., Bowling, D. R., Still, C. J., Buchmann, N., Kaplan, J. O., and Berry, J. A.: The application and interpretation of Keeling plots in terrestrial carbon cycle research, Global Biogeochem. Cy., 17, 1022, https://doi.org/10.1029/2001GB001850, 2003. 

Shi, T., Han, G., Ma, X., Gong, W., Pei, Z., Xu, H., Qiu, R., Zhang, H., and Zhang, J.: Potential of ground-based multiwavelength differential absorption lidar to measure d13C in open detected path, IEEE Geosci. Remote S., 19, 7003204, https://doi.org/10.1109/LGRS.2021.3130585, 2022. 

Shibata, Y., Nagasawa, C., and Abo, M.: Development of 16 µm DIAL using an OPG/OPA transmitter for measuring atmospheric CO2 concentration profiles, Appl. Optics, 56, 1194–1201, 2017. 

Still, C. J., Berry, J. A., Collatz, G. J., and Defries, R. S.: Global distribution of C3 and C4 vegetation: carbon cycle implications, Global Biogeochem. Cy., 17, 1006, https://doi.org/10.1029/2001GB001807, 2003.  

Stroud, J. R., Wagner, G. A., and Plusquellic, D. F.: Multi-Frequency Differential Absorption LIDAR (DIAL) System for Aerosol and Cloud Retrievals of CO2/H2O and CH4/H2O, Remote Sens., 15, 5595, https://doi.org/10.3390/rs15235595, 2023. 

Sun, X., Abshire, J. B., and Beck, J. D.: HgCdTe e-APD detector arrays with single photon sensitivity for space LIDAR applications, Proc. SPIE 9114, 91140K, https://doi.org/10.1117/12.2053757, 2014. 

Tellier, Y., Pierangelo, C., Wirth, M., Gibert, F., and Marnas, F.: Averaging bias correction for the future space-borne methane IPDA lidar mission MERLIN, Atmos. Meas. Tech., 11, 5865–5884, https://doi.org/10.5194/amt-11-5865-2018, 2018. 

Weitkamp, C.: Lidar. Range-resolved optical remote sensing of the atmosphere, Springer New York, NY, 456 pp., https://doi.org/10.1007/b106786, 2005. 

Widory, D. and Javoy, M.: The carbon isotope composition of atmospheric CO2 in Paris, Earth Planet. Sc. Lett., 215, 289–298, https://doi.org/10.1016/S0012-821X(03)00397-2, 2003. 

WMO: State of the Global Climate 2024, WMO-No. 1368, ISBN 978-92-63-11368-9, https://library.wmo.int/idurl/4/69455 (last access: 18 November 2025), 2025. 

Yu, S., Guo, K., Li, S., Han, H., Zhang, Z., and Xia, H.: Three-dimensional detection of CO2 and wind using a 1.57 µm coherent differential absorption lidar, Opt. Express, 32, 21134–21148, 2024. 

Yue, B., Yu, S., Li, M., Wei, T., Yuan, J., Zhang, Z., Dong, J., Jiang, Y., Yang, Y., Gao, Z., and Xia, H.: Local-Scale Horizontal CO2 Flux Estimation Incorporating Differential Absorption Lidar and Coherent Doppler Wind Lidar, Remote Sens., 14, 5150, https://doi.org/10.3390/rs14205150, 2022. 

Download
Short summary
This paper presents first differential absorption lidar (DIAL) measurements of isotopic ratio of CO2 13C) in the atmosphere in the spectral domain of 2-µm. This work investigates additional tracers of intra-atmospheric or surface-atmosphere exchanges to characterise CO2 sources and sinks.
Share